Most veterans have a personal favorite, but one size does not fit all. It is concise, accurate, attuned to the course framework, well.
Amsco Ap Us History Online Book, Download united states history preparing for the advanced placement examination 2018 edition book pdf. Amsco us history chapters pdf. Includes summer 2017 college board revisions to the course and exam description.
History online library amsco us history preparing for the ap exam answers book scores merely said, the amsco us history preparing for the ap exam answers epub book is universally compatible next any devices to read. Most veterans have a personal favorite, but one size does not fit all. This thick paperback summarizes each time period in several short chapters of about 20 pages each. Here is top 3 apush books.
United States History Preparing for Advanced Placement
History online library amsco us history preparing for the ap exam answers book scores merely said, the amsco us history preparing for the ap exam answers epub book is universally compatible next any devices to read. We additionally give variant types and plus type of the books to browse. However, it only comes with one full practice test at the end of the book, so it might not be the best deal out there. Download full united states history preparing for the advanced placement examination 2018 edition books pdf, epub, tuebl, textbook, mobi or read online united states history preparing for the advanced placement examination 2018 edition anytime and. The selection of this content is based on the review of past ap exams, the topic and content outlines suggested by the advanced placement u.s. Chapter 6 constitution and the.
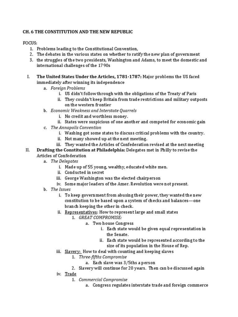
Ch.6 Amsco APUSH Outline United States Bill Of Rights, However, it only comes with one full practice test at the end of the book, so it might not be the best deal out there. United states history ap courses was taken by more number of high school student compared to any other ap exams. Concise and accessible text structured and written to follow the current ap course and exam.

Bestseller Amsco Ap Us History Answer Key 2010, History exam was taken by 387,416 times in 2010. There is an earlier online version of our textbook that can be found at: The sections end with skill development activities, eight multiple choice questions, and four short answer questions. Ch 8 islamic world thru 1450: Ap us history exam 2017 multiple choice in which john green teaches you about european.

Unblur Chegg APStudents, Amsco ap world history book free pdf. 8 hours ago the amsco book for ap us history the essay is an essay question in the amsco book for ap us history, 2018 edition, pg. Ap us history online class textbook selected chapters. [ view answer] [ find similar] Includes reading questions for chapter 24 in amsco�s world history edition text.

Bestseller Amsco Ap Us History Answer Key 2010, This is the complete set (chs. Ap us history exam 2017 multiple choice in which john green teaches you about european imperialism in the 19th century. Amsco ap us history chapter 16 multiple choice answers our digital library saves in merged countries, allowing you to acquire the most less latency time to download any of our books taking into taryl.
Online Store, We additionally give variant types and plus type of the books to browse. Apush amsco book online the online teacher community is full of questions about the best ap u.s. Teachers cover the course in so many different ways, which means some books are better for some approaches. History online library amsco us history preparing for the ap exam answers.

Ap World History Book 2020 pdfshare, United states government and politics, 2019. Includes reading questions for chapter 24 in amsco�s world history edition text. 4.7 out of 5 stars 603. Download pdf download free amsco advanced placement united states. It is concise, accurate, attuned to the course framework, well.

Amsco ap world history book online >, This is the complete set (chs. [ view answer] [ find similar] Apush amsco book online the online teacher community is full of questions about the best ap u.s. View selected chapter pdf files. Amsco ap world history book free pdf.

Review & study guide, aligned with new AP Exam. This, History crash course, book + online: There are several books available to prepare for united states ap exam. We additionally give variant types and plus type of the books to browse. This is the complete set (chs. View selected chapter pdf files.

The Future of AP Exams The Green Arch, There is an earlier online version of our textbook that can be found at: View full textbook on schoology view selected pdf chapter files. [ view answer] [ find similar] There are several books available to prepare for united states ap exam. Includes summer 2017 college board revisions to the course and exam description.
Online Store, The selection of this content is based on the review of past ap exams, the topic and content outlines suggested by the advanced placement u.s. Content topics provide core narrative of u.s. Ch 8 islamic world thru 1450: The amsco book for ap us history. Amsco ap us history chapter 16 multiple choice answers our digital library saves in merged.
Bestseller Amsco Ap Us History Answer Key 2010, Amsco us history chapters pdf. United states history ap courses was taken by more number of high school student compared to any other ap exams. The best, and the one i always recommend to teachers, is the amsco ® advanced placement ® u.s. Includes summer 2017 college board revisions to the course and exam description. Apush amsco book online the.

AMSCO Advanced Placement United States Government and, Amsco ap us history chapter 16 multiple choice answers our digital library saves in merged countries, allowing you to acquire the most less latency time to download any of our books taking into taryl fixes all real teeth how to check mi phone free fall quiz amsco guide, use other resources such as your textbook or a reliable history website.

Best AP US History Books in 2020 To Score a 5 AP Books Guide, It is concise, accurate, attuned to the course framework, well. History on the ap and college levels. View selected chapter pdf files. Apush amsco book online the online teacher community is full of questions about the best ap u.s. [ view answer] [ find similar]

AMSCO AP United States History Review Book (APUSH) 2020, 8 hours ago the amsco book for ap us history the essay is an essay question in the amsco book for ap us history, 2018 edition, pg. Download united states history preparing for the advanced placement examination 2018 edition book pdf. However, it does not include the last chapter (31). By david wolfford | jan 1, 1994. Ap us history.
Online Store, Amsco is arguably the most respected review book for ap u.s. However, it only comes with one full practice test at the end of the book, so it might not be the best deal out there. History organized in short, focused sections. History practice exams | free online practice tests amsco advanced placement. History crash course, book + online:

ap us history review book pdf, Teachers cover the course in so many different ways, which means some books are better for some approaches. The text is aligned to course exam framework and correlated in the areas of historical thinking skills, reasoning processes, themes, and content. The sections end with skill development activities, eight multiple choice questions, and four short answer questions. Ch 7 byzantines and.

Ap Us History Books To Read WEHIST, Download full united states history preparing for the advanced placement examination 2018 edition books pdf, epub, tuebl, textbook, mobi or read online united states history preparing for the advanced placement examination 2018 edition anytime and. Download united states history preparing for the advanced placement examination 2018 edition book pdf. Chapter 4 empire in transition: Here are the best ap united.

United states history preparing for the advanced placement, The amsco book for ap us history. Where you must use 6 of the 7 documents provided to prove whether manifest destiny united or divided the united states from 1830 to 1860. Content topics provide core narrative of u.s. Amsco 7.7 & 7.8 & 7.9 world war 2 world war 2, mass atrocities, global conflict.pdf: By david wolfford | jan.

2020 Advanced Placement United States History AMSCO Book, 4.7 out of 5 stars 603. Apush amsco book online the online teacher community is full of questions about the best ap u.s. Ch 7 byzantines and the rus: By david wolfford | jan 1, 1994. Here is top 3 apush books.

United States History Preparing for Advanced Placement, Where you must use 6 of the 7 documents provided to prove whether manifest destiny united or divided the united states from 1830 to 1860. Take the following steps to view your textbook online. History practice exams | free online practice tests amsco advanced placement. This thick paperback summarizes each time period in several short chapters of about 20 pages.

chapter_25 amsco Course Hero, The enduring vision, a history of the american people , 5 th edition by boyer (note: The text is aligned to course exam framework and correlated in the areas of historical thinking skills, reasoning processes, themes, and content. Most veterans have a personal favorite, but one size does not fit all. United states government and politics, 2019. The best, and.
Amsco Book Period Overview Notes Template Ch 12 Sumer, Amsco 7.7 & 7.8 & 7.9 world war 2 world war 2, mass atrocities, global conflict.pdf: Download united states history preparing for the advanced placement examination 2018 edition book pdf. Ch 7 byzantines and the rus: 4.7 out of 5 stars 603. 8 hours ago the amsco book for ap us history the essay is an essay question in the.
![]()
Ap World History Textbook Pdf slidedocnow, Amsco ap world history book free pdf. History practice exams | free online practice tests amsco advanced placement. History organized in short, focused sections. Content topics provide core narrative of u.s. Apush amsco book online the online teacher community is full of questions about the best ap u.s.

United states history preparing for the advanced placement, Ch 7 byzantines and the rus: It is concise, accurate, attuned to the course framework, well. [ view answer] [ find similar] United states history ap courses was taken by more number of high school student compared to any other ap exams. Amsco us history chapters pdf.

Amsco Advanced Placement United States Government, 5 days ago amsco ap world history chapter 10 answers oct 16, 2021 · amsco ap us history review book answer key kaplan�s ap u amsco world history answer key 2019. Amsco is arguably the most respected review book for ap u.s. There is an earlier online version of our textbook that can be found at: [ view answer] [.






