2 sharing the list of documents required for duplicate rc by us to the client by mail. Application process for obtaining duplicate rc.
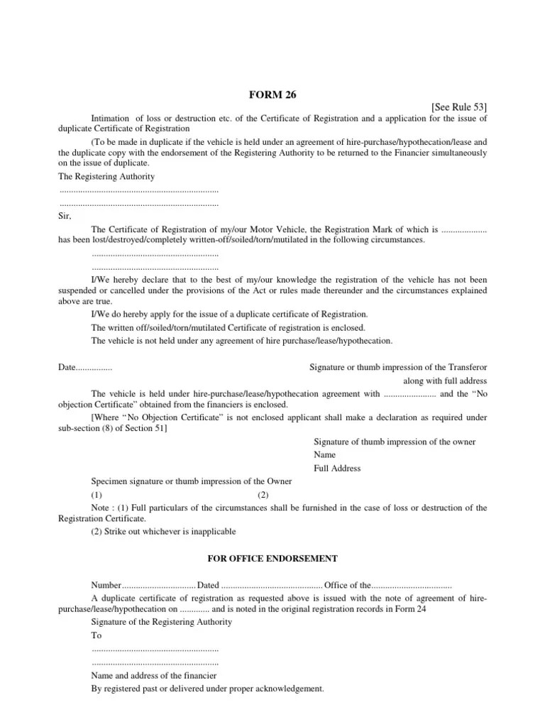
Apply For Duplicate Rc Book Online, File an application online through transport department portal online services for issue of duplicate certificate of registration form 26.if covered by finance / hire purchase / lease with the signatures of the financier on form 26 in duplicate, duly paying the appropriate fee as specified in rule 81 of the central motor vehicle. Application for duplicate rc i.e., form number 26; This requires information of the police fir and vehicle insurance information.
If you lost you rc book first you must lodge a complaint in the local police station where you lost your rc book. To apply for a duplicate rc offline, visit the rto office where the original rc was issued and complete the following steps: Enter registration number, chassis number and click on generate otp. Application for duplicate rc of vehicle (car/bike) can be submitted in the rto , in case you have lost your rc book or it gets mutilated.
Downloading of Duplicate RC or Driving License Telangana
How to apply for duplicate rc online in delhi. Register an fir with your nearest police station mentioning details of owner, registration no., engine no., and chassis no. In case you lose or misplace your vehicle registration certificate, you may apply for a duplicate registration certificate. Other state vehicles can apply online for home state. In this article we will discuss the process for duplicate rc book online, documents required for duplicate rc book city wise. Application for duplicate rc i.e., form number 26;

How To Process And Obtain Duplicate RC Book Online?, You can also drop a message. Enter the otp and click on submit button. Insurance certificate of the vehicle Other state vehicles can apply online for home state. 2 sharing the list of documents required for duplicate rc by us to the client by mail.

Goa Online Obtain Duplicate Vehicle Registration, Go to the rto office where the automobile was first registered. Select issue of duplicate rc and click on submit. No objection certificate from financier. To apply for a duplicate rc, perform these steps: Today rc’s can be had in the form of a smart card which makes it easier to carry and is a lot more durable.

Duplicate RC Book कैसे Apply कर सकतें हैं जाने पूरी, Owner of the vehicle can apply for duplicate registration certificate. To apply for duplicate rc of the vehicle visit of registered owner to the rto is mandatory. In case you lose or misplace your vehicle registration certificate, you may apply for a duplicate registration certificate. It has to be applied in the rto where vehicle is registered. How can i.

how to apply duplicate rc online duplicate rc kaise, How to apply for duplicate rc book online? Fill form 26 to apply for a duplicate rc. Yourdoorstep provides duplicate rc service at yourdoorstep in delhi. Today rc’s can be had in the form of a smart card which makes it easier to carry and is a lot more durable. Firstly, file a police complaint, for issuing a challan stating.

How to get rc book >, Visit the rto office where the vehicle was originally registered. Even though online services are provided by the rto, some people choose traditional ways. 1 understanding the customer�s requirement by your doorstep. On registered mobile number, otp will receive. 2 sharing the list of documents required for duplicate rc by us to the client by mail.

Loan Against Vehicle Rc Book Bangalore MUNIR1, Personally visit rto office at which you registered your vehicle. Process of applying for a duplicate rc book: To apply for duplicate rc offline, you need to follow the steps mentioned below: First, file an fir at your nearest police station in case you lost the rc. Original copy of rc if it is spoiled;

What To Do When You Lost RC? Here Is Detailed Guideline, Let’s find out the traditional method! Here is the information available on an rc smart card or an rc book: Vehicle rc download online : How to apply for duplicate rc online in delhi. 2 sharing the list of documents required for duplicate rc by us to the client by mail.

How To Get Duplicate Rc Smart Card Leah Beachum�s Template, In case your vehicle is on loan, get the form signed by the financier. Head over to the online services offered by them and select the option to apply for a duplicate rc book online. 2 sharing the list of documents required for duplicate rc by us to the client by mail. Process of applying for a duplicate rc book:.
Name Correction In Rc Book, Click on the information services link on the parivahan sewa site. Register an fir with your nearest police station mentioning details of owner, registration no., engine no., and chassis no. To apply for a duplicate rc offline, visit the rto office where the original rc was issued and complete the following steps: Mention everything about the vehicle like owner details,.

Downloading of Duplicate RC or Driving License Telangana, You can apply for a duplicate rc book online on the parivahan sewa website or offline, at your nearest rto center. Documents required for getting duplicate rc book. Application process for obtaining duplicate rc. Yourdoorstep provides duplicate rc service at yourdoorstep in delhi. Go to vahan site and register as user or login into it by clicking on register or.

Duplicate RC in Delhi online How To Get Duplicate RC, In order to avail duplicate rc smart card in online, owners need to download the form 26 from the official website and should fill it with the required information. Click on the information services link on the parivahan sewa site. Hover above the ‘informational services’ tab You can also drop a message. In case your rc is torn, stolen or.
![]()
Rto India — rc book not received yet, Register an fir with your nearest police station mentioning details of owner, registration no., engine no., and chassis no. You can apply for a duplicate rc book online on the parivahan sewa website or offline, at your nearest rto center. The steps involved in the process are : Rc book apply online : Head over to the online services offered.

How to get rc book, Head over to the online services offered by them and select the option to apply for a duplicate rc book online. Issue of duplicate certificate of registration. Applying for a duplicate rc can either be done online or offline and is a rather simple procedure. First, file an fir at your nearest police station in case you lost the rc..
I applied for NOC in Bangalore RTO and shifted to Delhi, I, In this article we will discuss the process for duplicate rc book online, documents required for duplicate rc book city wise. You will have to follow the simple steps given below to apply: File an fir at your nearest police station. Here is the information available on an rc smart card or an rc book: Click on the information services.

How To Get Duplicate Rc Smart Card Leah Beachum�s Template, Yourdoorstep provides duplicate rc service at yourdoorstep in delhi. In order to avail duplicate rc smart card in online, owners need to download the form 26 from the official website and should fill it with the required information. Details of tax for the preceding 4 quarters including tax token and payment of tax; Owner of the vehicle can apply for.

How to get rc book for bike >, Let’s find out the traditional method! In case you lose or misplace your vehicle registration certificate, you may apply for a duplicate registration certificate. To apply for a duplicate rc offline, visit the rto office where the original rc was issued and complete the following steps: Documents required for getting duplicate rc book. Even though online services are provided by.

Duplicate RC Online Ph 09540005064 Duplicate RC, To apply for a duplicate rc, perform these steps: Personally visit rto office at which you registered your vehicle. Download rc book online 2021: To apply for a duplicate rc offline, visit the rto office where the original rc was issued and complete the following steps: An application for issue of duplicate certificate of registration shall be made in form.

How to Apply New Smart duplicate RC Book in Online full, The online steps of how to apply for duplicate rc are listed here for easy reference: Rc book apply online : An application for issue of duplicate certificate of registration shall be made in form 26.if covered by finance / hire purchase / lease with the signatures of the financier on form 26 in duplicate, duly paying the appropriate fee.
![]()
Rto India — rc book not received yet, Application for duplicate rc i.e., form number 26; Copy of the fir if the rc is misplaced; Application process for obtaining duplicate rc. In case your rc is torn, stolen or misplaced, you can apply for a duplicate rc. Fill form 26 to apply for a duplicate rc.
Duplicate RC Application Form 26 Vehicles Politics, Owner of the vehicle can apply for duplicate registration certificate. Today rc’s can be had in the form of a smart card which makes it easier to carry and is a lot more durable. Issue of duplicate certificate of registration. In case you lose or misplace your vehicle registration certificate, you may apply for a duplicate registration certificate. If you.

RTO Delhi Transport Portal Apply online for LL, DL, RC, On registered mobile number, otp will receive. Vehicle rc download online : 1 understanding the customer�s requirement by your doorstep. Other state vehicles can apply online for home state. Then, get form 26 from the rto and apply for a duplicate rc.
How To Get Duplicate Rc Smart Card Leah Beachum�s Template, How can i apply for a duplicate rc while i�m not online? To apply for a duplicate rc offline, visit the rto office where the original rc was issued and complete the following steps: You can also drop a message. Here is the information available on an rc smart card or an rc book: Issue of duplicate certificate of registration.

RC book download செய்வது எப்படிhow can I download my RC, To apply for duplicate rc of the vehicle visit of registered owner to the rto is mandatory. File an fir at your nearest police station. In case your vehicle is on loan, get the form signed by the financier. Proceed filling the details required such as the registration number of the car (digits on the number plate) and the chassis.
Vehicle RC Download Download rc by vehicle number, Submit the required service fee (which includes the fee of a smart card) online with the application form. 2 sharing the list of documents required for duplicate rc by us to the client by mail. Owner of the vehicle can apply for duplicate registration certificate an application for the issue of a duplicate certificate of registration can be given to.

How To Get Duplicate Rc Smart Card Online Roger Devito�s, In case your rc is torn, stolen or misplaced, you can apply for a duplicate rc. In order to avail duplicate rc smart card in online, owners need to download the form 26 from the official website and should fill it with the required information. Personally visit rto office at which you registered your vehicle. File an fir at the.







